LetinAR's AR Glasses Technology - Analysis from Patent Perspective(part 2)
LetinAR Company has developed AR glasses, which are essential for the realization of augmented reality, and holds a number of patents. Following the last time, let's make it easy to understand what kind of AR glasses optical system technology LetinAR has secured.
The description of the company called LetinAR and the preceding patents were summarized in the previous post, so if you are curious, I recommend that you read the article in the link below first.
Go to link: LetinAR's AR Glasses Technology Part 1
A brief description of retinal's pin mirror technology
First of all, in order to understand the technology below, I will explain the pinMR(pin sized mirror) technology, which is the core technology of LetinAR's AR glasses optics. The pinMR technology is simply a very small size of less than 2 mm mirrors inserted inside the lens as shown in the picture below. These tiny mirrors allow you to clearly see virtual objects that are reflected from the mirror to your pupil by pinhole effect that blocks peripheral vision and temporarily improves person's vision.
By applying the pinMR to the optical system, it is possible to design an optical system for AR glasses that is lightweight while having excellent viewing angle, sharpness, and color performance.

Patent analysis of AR glasses optical system realized using micro-sized pinMR
(1) Structure to reduce the width of the camera module's optical path <Camera module miniaturization> (Europe Application No. 2020-834881)
The conventional camera module cannot reduce the size of the lens as shown in the drawing below, and when the lens is moved for focus adjustment, it can protrude from the camera module, so there is a limit to reducing the width (w).
In order to solve this problem, this patent is configured to reflect the image light in the vertical direction as shown in the figure below by arranging a reflector that changes the optical path of the image light. In the past, there was a limit to change the focus by moving the lens left and right, but the present invention moves the lens up and down as the light path is changed vertically as shown in the figure below to adjust the focus more freely and at the same time There is an advantage that the size of the width(w) can also be reduced. That is, the present invention is characterized in that the width(w) of the camera module can be reduced by arranging a reflector(mirror) in the image light path to convert the light path to a vertical direction.
(2) Structure to improve sharpness by changing the shape of the mirror <Improvement of light uniformity> (US Patent No. 10779884)
In general, AR glasses has a structure that allows the user to view augmented reality objects by reflecting the image emitted from the display device to the pupil by a reflection unit as shown in the figure below.
At this time, the reflection unit refers to the pin mirror (pinMR), which is the core technology of LetinAR, and is a small circular mirror of about 2 mm or less. If the pinMR has a circular shape, there is a problem that the central part is clearer than the peripheral part, as shown below, so that non-uniform light is focused on the pupil.
However, if the pinMR has a non-circular shape as shown below, it has the advantage that uniform light is focused on the pupil and sharpness can be improved. The present invention is characterized by improving the uniformity of light by using a pin mirror having a shape that is not point-symmetric (eg, triangle, square, etc.). (Actually, I can guess what the intention of filing this patent was, but I will not mention it because it does not fit the purpose of the posting.)(3) Structure using multiple pin mirrors <Structure for expanding the field of view for augmented reality objects> (US Application No. 17-291231)
The pinMR, which is the core technology of LetinAR using the pinhole effect, can show a clear image of a virtual object to the user, but has a problem in that the viewing angle is small due to its very small size. To put it simply, the pinMR is so small that even a small movement of the user's gaze can cause the virtual object to go out of sight. Therefore, the present invention has proposed a method of arranging several pinMRs to solve this problem. If you look at the pictures below, if the distance between the pinMRs is close to a certain level or less, the virtual object is visible without interruption regardless of the field of view. However, if the distance between the pinMRs is farther than the size of the pupil, the virtual object will look broken as shown in the figure below. Therefore, how to determine the arrangement of the pinMRs is the core of the technical idea of the present invention.


According to the present invention, two groups (20A and 20B) are formed as shown in the figure below, and several reflectors are placed in each group. Each reflector is staggered so that it does not overlap on the light path, so that the light is reflected toward the pupil. By placing multiple reflectors in this way, pinMRs can provide a virtual object with a wider field of view for viewing the virtual object.
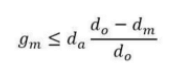
(4) Structure that specifies the range of the distance between the fin mirrors <Structure for expanding the field of view for augmented reality objects> (US Application No. 2022-0043266)
This patent is similar to the patent described in (3), but its main purpose is to widen the field of view for viewing virtual objects by regularly arranging several pinMRs. In particular, it is characterized by specifying the distance between the pinMRs in a formula.
The distance (gm) between the pinMRs can be obtained using the formula below.

Here, da is the size of the pupil, do is the position of the augmented reality object, and dm is the distance between the pinMR and the pupil. That is, the present invention is characterized in that i) the size of the pupil, ii) the position of the augmented reality object, and iii) the distance between the pinMR and the pupil are used as variables to determine the distance between the pinMRs to optimize the viewing angle.
We have briefly summarized the contents of 4 patents related to AR glasses optics technology for Metaverse. It seems that LetinAR continues to develop pinMR technology to commercialize AR glasses. While observing the patent, you can see the direction of the company's development, and sooner or later, you may come across smart glasses rather than smartphones. After posting this, I will see you in Part 3.






